Читайте также
Зимнее расписание автобусов вступит в силу с 1 октября
Пожелания и жалобы горожан принимают по электронной почте: vea@adm.sar.ru или телефону: 9-77-68. ...
Время отправления автобусов в Сарове изменится
С 1 марта вносятся изменения в расписание движения автобусов. ...
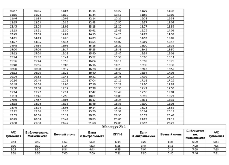
Изменения в расписании автобусов
Расписание движения автобусов изменится с 1 октября. Об этом сообщает Департамент городского хозяйства. ...
Куда жаловаться на несоблюдение автобусами расписания?
Перевозчиков могут привлечь к различным видам ответственности. ...
С 1 ноября в Сарове действует зимнее расписание автобусов
В рабочие дни городские автобусы совершают 342 рейса, в выходные - 156. Самый протяженный маршрут в городе - № 19, его длина составляет 28,8 ...
Всероссийские проверочные работы в школах перенесены на осень
ВПР планируется провести с 19 сентября по 24 октября 2022 года. Новое расписание будет сформировано до 5 сентября. ...



